做寺庙设计记得找德鲁安
13810104901微信手机同号
■《中国历代禅师传记资料汇编》简介
佛教创始于印度,两汉之际传入中国,至隋唐时期臻于成熟。唐代以来,在以汉族为主的广大地区中,佛教的主要特点是“宗派林立”,而在普通群众中拥有极大势力的是净土宗和禅宗。禅宗是中国的产物,是中国佛教中具特色的教派。禅宗创于唐代,一千多年来,寺院林立,高僧屡现,成长了一大批禅师,对佛教及禅学作出了重要的贡献。本书收录了历代禅师的传记资料六百余种,主要辑自国家图书馆珍藏的石刻拓片、中国历代佛寺志、历代汉文大藏经、《四库全书》、《金石萃编》等文献;内容包括禅师碑铭、塔铭、行状、行业记、年谱、行脚等,按照禅师卒年顺序排列,书末附《禅灯世谱》。
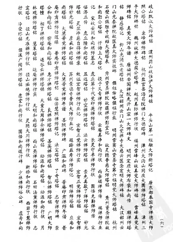
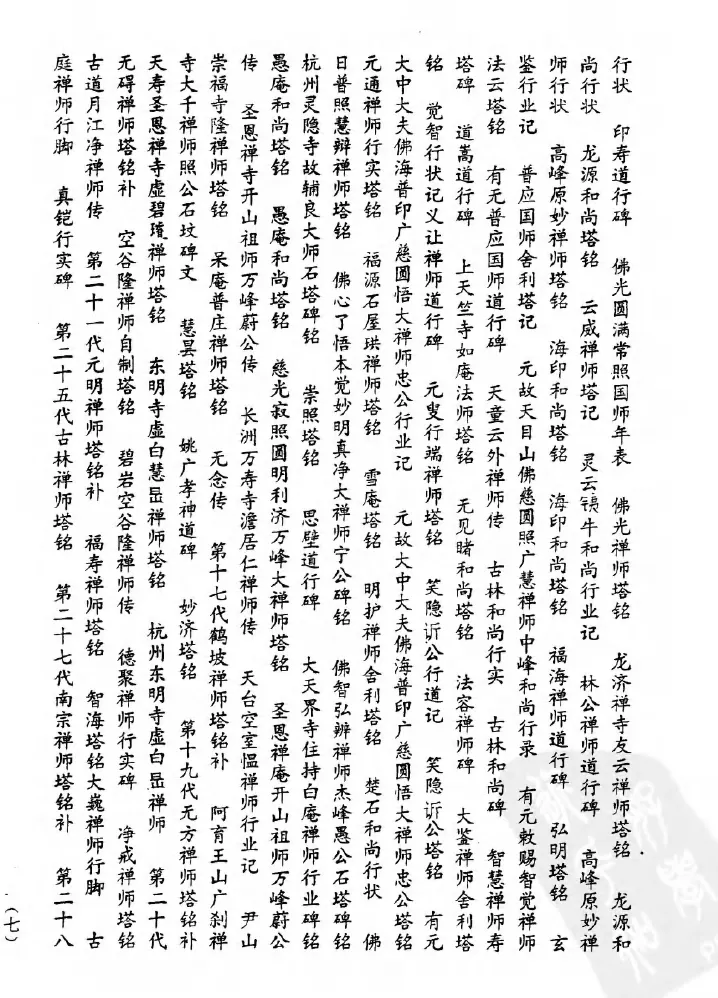
■《中国历代禅师传记资料汇编》目录
■《中国历代禅师传记资料汇编》获取方式
关注我们,回复“禅师传记”,即可免费获取《中国历代禅师传记资料汇编》电子版!!!
更多书籍,惊喜不断
声明:图片素材来源网络,版权归属原作者,若侵权,请及时联系我们删除,谢谢。
